In this overview, we quickly go through the main functionality of the RangeShiftR R-package v1.1.2 in order to get a first overview of the basic structure.
Within the standard workflow of RangeShiftR, a simulation is defined by:
The standard workflow of RangeShiftR is to load input maps from ASCII raster files and to write all simulation output into text files. Therefore, the specified working directory needs to have a certain folder structure: It should contain 3 sub-folders named ‘Inputs’, ‘Outputs’ and ‘Output_Maps’.
Load the package by typing:
library(RangeShiftR)
## RangeshiftR version 1.1.2 (26.09.2025)
## Copyright (C) 2020-2025 Anne-Kathleen Malchow, Greta Bocedi, Stephen C.F. Palmer, Justin M.J. Travis, Jette Wolff, Damaris Zurell
##
## This program is distributed in the hope that it will be useful, but WITHOUT ANY WARRANTY.
## You are welcome to redistribute it and/or modify it under certain conditions;
## type 'RangeShiftR_license()' for details.
Create a parameter master object with all the default settings and store it:
s <- RSsim()
If you have already created a suitable directory for your simulation on your disc, store its path in a variable. This can either be the relative path from your R working directory or the absolute path.
dirpath = "Overview/"
Create the RS folder structure, if it doesn’t yet exist:
dir.create(paste0(dirpath,"Inputs"), showWarnings = TRUE)
dir.create(paste0(dirpath,"Outputs"), showWarnings = TRUE)
dir.create(paste0(dirpath,"Output_Maps"), showWarnings = TRUE)
With this, we are already set to run our first simulation by typing:
RunRS(s,dirpath)
## Checking Control parameters
##
## Control Parameters checked
##
## Run Simulation(s) with random seed ...
##
## Running simulation nr. 1
##
## starting replicate 0
## RunModel(): completed initialisation
## starting year 0...
## starting year 1...
## starting year 2...
## starting year 3...
## starting year 10...
## starting year 20...
## starting year 30...
##
## starting replicate 1
## RunModel(): completed initialisation
## starting year 0...
## starting year 1...
## starting year 2...
## starting year 3...
## starting year 10...
## starting year 20...
## starting year 30...
##
## ***** Elapsed time: 1 seconds
##
## *****
## ***** Simulation completed
## ***** Outputs folder: Overview/Outputs/
## *****
## $Errors
## [1] 0
You should find the generated output - the simulation results as well as some log files - in the ‘Outputs’ folder.
To look at the parameter master in more detail, simply type:
s
## Batch # 1
##
## Simulation # 1
## -----------------
## Replicates = 2
## Years = 50
## Absorbing = FALSE
## File Outputs:
## Range, every 1 years
## Populations, every 1 years, starting year 0
##
## Artificial landscape: random structure, binary habitat/matrix code
## Size : 65 x 65 cells
## Resolution : 100 meters
## Proportion of suitable habitat: 0.5
## K or 1/b : 10
##
## Demography:
## Unstructured population:
## Rmax : 1.5
## bc : 1
## Reproduction Type : 0 (female only)
##
## Dispersal:
## Emigration:
## Emigration probabilities:
## [,1]
## [1,] 0
##
## Transfer:
## Dispersal Kernel
## Dispersal kernel traits:
## [,1]
## [1,] 100
## Constant mortality prob = 0
##
## Settlement:
## Settlement conditions:
## [,1]
## [1,] 0
## FindMate = FALSE
##
## Initialisation:
## InitType = 0 : Free initialisation
## of all suitable cells/patches.
## InitDens = 1 : At half K_or_DensDep
It contains of a number of parameter modules that each define different aspects of the RangeShifter simulation. Specifically, there are:
Here is a schematic overview of the module constructors and their
relations: 
In the following, we go through some of the most relevant aspects of each module.
This module is used to set general simulation parameters (e.g. simulation ID, number of replicates, and number of years to simulate) and to control output types (plus some more specific settings). For this overview, we will stick to the defaults:
sim <- Simulation(Simulation = 2,
Years = 50,
Replicates = 2,
OutIntPop = 50)
For detailed information on this module (or any other), please see the documentation.
?Simulation
RangeShiftR can either import a map from an ASCII raster file in the ‘Inputs’ folder or generate a random map to use in the simulation.
For each option, there is a corresponding function to create a Landscape parameter object
land <- ImportedLandscape()
land <- ArtificialLandscape()
Imported landscapes can provide either (binary or continuous) habitat suitability or land type codes. Furthermore, they can be either patch- or cell-based. We cover both types of landscapes in the remaining tutorials.
Artificially generated landscapes can only contain (binary or continuous) habitat suitability and are always cell-based.
For our example, we define an artificial landscape:
land <- ArtificialLandscape(Resolution = 10, # in meters
K_or_DensDep = 1500, # ~ 15 inds/cell
propSuit = 0.2,
dimX = 129, dimY = 257,
fractal = T, hurst = 0.3,
continuous = F)
The Demography module contains all the local population dynamics of your simulated species. Generally there are two types:
For the first case, create a simple Demography() module
(the maximum growth rate Rmax is the only required
parameter)
demo <- Demography(Rmax = 2.2, ReproductionType = 1, PropMales = 0.45)
The option ReproductionType determines the way that
different sexes are considered:
0 = asexual / only female model
1 = simple sexual model
2 = sexual model with explicit mating system
In order to make a stage-structured model, we have to additionally create a stage-structure sub-module within the Demography module. Here, we have already defined a Demography object and can use ‘+’ to add the StageStructure sub-module.
stg <- StageStructure(Stages = 3,
TransMatrix = matrix(c(0,1,0,5.7,.5,.4,3.4,0,.9),nrow = 3),
FecDensDep = T,
SurvDensDep = T)
demo <- demo + stg
Alternatively, we define the sub-module within the Demography module:
demo <- Demography(StageStruct = stg, ReproductionType = 1, PropMales = 0.45)
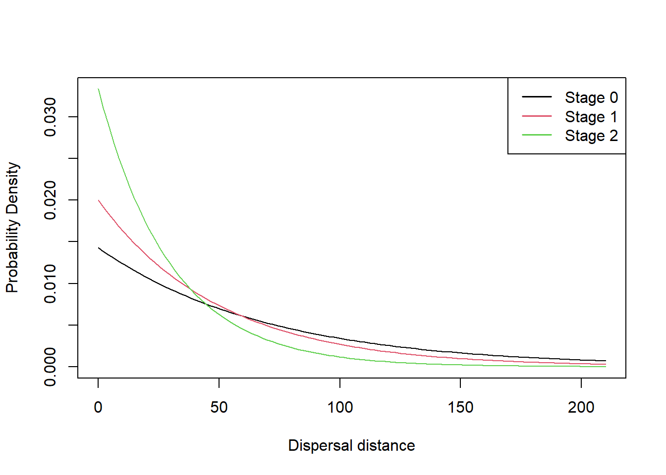
RangeShiftR provides a number of useful functions to explore the model set-up. For example, we can plot the rates from the transition matrix:
plotProbs(stg)

The dispersal process is modelled wih three sub-processes (see the
schematic figure above): Emigration(),
Transfer() and Settlement().
disp <- Dispersal(Emigration = Emigration(EmigProb = 0.2),
Transfer = DispersalKernel(Distances = 50),
Settlement = Settlement() )
We can use the function plotProbs() to plot various
functional relationships, for example a dispersal kernel with a
stage-dependent mean transfer distance:
plotProbs(DispersalKernel(Distances = matrix(c(0,1,2,70,50,30),nrow = 3), StageDep = T))

This is using mostly default options. For example, we can change the settlement condition so that a female individual, that arrives in an unsuitable cell, will wait for another time step and disperse again, while the males will die if arriving in an unsuitable cell:
disp <- disp + Settlement(SexDep = T,
Settle = matrix(c(0,1,1,0), nrow = 2))
The dispersal traits of every phase can be set to vary between
individuals (IndVar = TRUE). This also makes the dispersal
traits heritable and thus allows for evolution, for example, evolving
emigration probability:
disp2 <- disp + Emigration(IndVar = TRUE,
EmigProb = matrix(c(.7,.1), nrow = 1),
TraitScaleFactor = c(.1))
The genetics module controls the heritability and evolution of traits
and is needed if inter-individual variability is enabled
(IndVar = TRUE) for at least one dispersal trait.
gene <- Genetics(NLoci = 3, ProbMutn = .05)
In order to control the initial distribution of individuals in the landscape at year 0, we set initialisation rules. We choose to initialise 3 individuals per habitat cell. Additionally, since we define a stage-structured model, we have to specify the initial proportion of stages:
init <- Initialise(FreeType = 0,
NrCells = 2250,
InitDens = 2,
IndsHaCell = 3,
PropStages = c(0,0.7,0.3))
init
## Initialisation:
## InitType = 0 : Free initialisation
## of 2250 random suitable cells/patches.
## InitDens = 2 : 3 individuals per cell/hectare
## PropStages = 0 0.7 0.3
## InitAge = 2 : Quasi-equilibrium
After all settings have been made in their respective modules, we are ready to combine them to a parameter master object, which is needed to run the simulation.
s <- RSsim(simul = sim, land = land, demog = demo, dispersal = disp, gene = gene, init = init)
# Alternative notation:
# s <- RSsim() + land + demo + disp + sim + init + gene
We can check the parameter master (or any single module) for potential parameter conflicts:
validateRSparams(s)
## [1] TRUE
Once the parameter master has been defined, we can run the simulations in the specified RS directory.
RunRS(s, dirpath)
All results are stored in the Outputs folder. RangeShiftR provides some in-built functions to access and plot these results. Here, we plot the abundance and occupancy time series:
range_df <- readRange(s, dirpath)
# ...with replicates:
par(mfrow=c(1,2))
plotAbundance(range_df)
plotOccupancy(range_df)

# ...with standard deviation:
par(mfrow=c(1,2))
plotAbundance(range_df, sd=T, replicates = F)
plotOccupancy(range_df, sd=T, replicates = F)

Although RangeShiftR provides a number of functions for easy
post-processing and plotting of results, it may also be desirable to
further process the results yourself. As a simple example for such a
workflow, let’s plot the spatial distribution of abundance. For doing
so, we load the data from the population output files and process it
using the terra package:
# read population output file into a dataframe
pop_df <- readPop(s, dirpath)
# Not all years have the same number of populated and thus listed cells. For stacking, we set a common extent with the values used in the landscape module:
ext <- c(0,1290,0,2570)
res <- 10
# Make stack of different raster layers for each year and for only one repetition (Rep==0):
pop_wide_rep0 <- reshape(subset(pop_df,Rep==0)[,c('Year','x','y','NInd')], timevar='Year', v.names=c('NInd'), idvar=c('x','y'), direction='wide')
# use terra package to make a raster from the data frame and viridis for colouring
library(terra)
library(viridis)
stack_years_rep0 <- terra::rast(pop_wide_rep0, type="xyz")
names(stack_years_rep0) <- c('Year.0', 'Year.50')
terra::plot(stack_years_rep0, range = c(0,7), col = magma(14), type="continuous")
